徠卡機器人全站儀助力三等水準測量
一、前言
目前高程測量方法一般分為幾何水準測量、GPS水準測量和三角高程測量三大類。采用傳統水準的方法測定點與點之間的高差,所得到的地面點高程精度較高,普遍用于建立國家高程控制點及測定高等級地形控制點的高程。對于地面高低起伏較大的地區,采用這種方法測定地面點的高程進程緩慢,有時甚至非常困難。

精密三角高程測量在丘陵地、山地、高山地區相比常規水準測量,因架站少、架站自由、靈活、快速,不需要量測儀器、棱鏡高,傳遞高程優勢顯著,能大大降低外業勞動強度,但受限于全站儀的硬件性能,此前一直未能在生產中實際應用;徠卡測量機器人的出現,打破了三角高程測量不能代替高精度水準測量的束縛,徠卡自動全站儀多測回自動觀測、自動識別限差,給野外測量帶來很大的便利,尤其夜間觀測成果更佳。
二、精密三角高程測量技術的可行性研究

作業流程:
檢測棱鏡互差,并檢核棱鏡的加裝是否符合要求,同時還要對全站儀進行組合檢校;
在起點布設棱鏡桿,在距離起點較近的一點(轉點1),布設主站;
主站在轉點1依次觀測棱鏡桿低棱鏡(①)和棱鏡桿高棱鏡(②);
主站不動,在轉點2架設輔站。依次進行如下觀測:后測站觀測低棱鏡(③)、前測站觀測低棱鏡(④)、前測站觀測高棱鏡(⑤)、后測站觀測高棱鏡(⑥);
主站換站至轉點3,輔站不動。依次進行如下觀測:后測站觀測低棱鏡(⑦)、前測站觀測低棱鏡(⑧)、前測站觀測高棱鏡(⑨)、后測站觀測高棱鏡(⑩);
輔站換站,依次循環進行高程的傳遞至接近末點處;
在最后的轉站,主站依次觀測末點高低棱鏡。
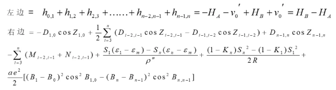
數據模型:

限差

三、項目驗證
為了驗證精密三角高程測量的精度, 內蒙古自治區測繪院使用徠卡TCRA1201全站儀、徠卡TS30全站儀及徠卡TS60全站儀等檢測了很多段用數字電子水準儀測得二等水準路線。其結果如表所示, 精密三角高程測量是完全可以達到二等水準測量的要求。

四、經驗積累、廣泛應用
自2010年5月以來,內蒙古自治區測繪院在呼和浩特、包頭、鄂爾多斯、巴彥淖爾市、烏蘭察布市、赤峰市已成功的使用徠卡自動全站儀精密三角高程測量代替二等水準測量1700多千米;在烏蘭察布市、呼倫貝爾市、興安盟、赤峰市等地方成功的使用徠卡自動全站儀精密三角高程測量代替三等水準測量4000多千米。

經過數年的研究,不同時間,不同區域,所測得的數據基本都能滿足國家二等水準測量規范的要求。徠卡自動全站儀搭配三角高程測量軟件、計算軟件和正確的測量方法,達到了目的和效果。同時我們也積累了諸多的外業經驗:
盡可能使用無伸縮腳架觀測,測段起、末水準點上,對中桿要放穩,保持高度不。
對向觀測時,如一站觀測時間過長,應重測對向觀測。
白天平均氣溫超過26℃時,在保障安全的作業前提下,最好在夜間作業,提前踏勘、選定觀測路線和測站點,更能顯著提高作業效率。
白天作業視線長度不宜超過800米,經過大量測量數據證明500米左右為最佳觀測距離。
白天作業時間遵照水準測量規范上的要求,由于在陽光直射和地面溫度較高,熱氣浪大時大氣折光影響較大。
自動照準觀測,視場內不能有遮擋物在棱鏡前。
視線不能通過煙火上空,觀測目標背后不能有大面積反光地物(蔬菜大棚),大面積水域。
在ATR自動照準時盡量避免陽光直射,由于正對太陽時,在自動照準光路中會有噪聲,從而影響自動照準的精度。

五、總結
傳統二、三等水準在山地、高山的測量中,需要耗費大量的人力、物力和財力,且效率極低。以傳統水準測量為例,在山地連測二、三等水準,單程連續觀測前后視距5-10米,一站一站連測,一個組一天連測3-5公里左右,依據財政部、國家測繪局2009 年頒布的《測繪生產成本費用定額》計算,100個水準點需要聯測1000千米。若對這些點進行二等水準觀測,100個水準點觀測的費用為207萬元,一個組5人需要400天完成。而同樣任務利用徠卡自動全站儀精密三角高程聯測二等水準,一個組一天聯測8-10公里左右,200天以內就可以完成1000千米的水準測量,節省大量的人力、物力。應用徠卡自動全站儀精密三角高程代替二、三等水準測量在困難地區聯測,可產生巨大的經濟效益。
徠卡自動全站儀精密三角高程測量具有傳遞高程靈活、方便、受地形條件限制較少等優點,徠卡測量機器人超高的測角測距精度,為精密三角高程測量提供了硬件保障,目前徠卡自動全站儀精密三角高程測量在大地測量、工程測量中得到了廣泛的應用。
更多相關
中海達獲2023年衛星導航創新應用最高獎
近日,由中國衛星導航定位協會組織評選的2023年衛星導航定位科學技術獎各類獎項揭曉,其中2023年衛星導航定位創新應用獎含白金獎2項、金獎13項、銀獎18項。由中海達旗下公司廣州海達星宇技術有限公司、...
徠卡TZ08全站儀,城市測量好伴侶!!!
某地級市自來水公司接到某小區自來水管線報裝申請,需實地對前期預埋自來水管線閥門、水表進行實地核實勘測,同時采集其精確位置信息用于城市自來水官網系統的更新。該小區臨近主干道高架橋,內部均為二十多層的...
海洋調查如何才能產生高質量數據
“我們往往只聞眾多調查項目轟轟烈烈地啟動,調查船奔赴各大洋考察繼而凱旋,鮮有人關心取得了多長時序的有效調查數據,質量又如何。”國家海洋局第二海洋研究所教授級高工許建平14日在接受記者采訪時發問,“...
中海達iBoat BSA無人船在水下測量中的應用
中海達iBoatBSA無人船是一款安卓無人智能測量船。船體僅重6KG,輕巧便攜,單人輕松作業。采用M型船底,流體仿真設計,阻力小,航行更平穩。船體加固防護,毫米波避障設計,安全可靠。采用測深、船控二...
2021胡潤世界500強發布!海克斯康上榜
在2021年公布的《2021嘉興·胡潤世界500強》榜單中,海克斯康以2433億人民幣估值榮登484位,類屬軟件工業領域。“胡潤世界500強”上榜...
盤點|2017上半年測繪地理信息領域的那些大事
驚風飄白日,光景西馳流,2017年三分之二時日已過。 以半年為節點,地理信息行業大事不斷,三調拉開帷幕、新測繪法出臺、國家基礎比例尺多項新標準亮相等等,都在隱喻這個行業的蓬勃發展。 同...
徠卡手持測距儀拍照即可解決廣告牌尺寸測量
在公路兩旁或城市中,不乏許多巨幅廣告牌在向我們宣傳各式各樣的產品、公司或文化等。其實在這背后,還有一些公司、單位在對廣告牌進行測量,例如長、寬、面積等。 城管單位:對新建廣告牌進行檢查和驗收,如...
科力達KTS-552智能安卓全站儀,突破傳統全站儀單一作業模式!
DOS、Windows、智能Android 每一次產品的迭代 都是對全站儀的再次詮釋 機械設計和科技合二為一 勾勒出智慧測量新藍圖 見所未見,未來已來 共享智能測量新時代 科力達新品...











環球測繪微信